• Предмет: Алгебра
  • Автор: alishka071102
  • Вопрос задан 10 лет назад

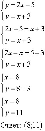
Найдите координаты точки пересечения графиков функций y=2x-5 и y=x+3

Ответы

Ответ дал: Аноним
0
2х - 5 = Х + 3 ; Х = 8 ; y = 8 + 3 = 11 ; Ответ ( 8 ; 11 )
Ответ дал: mishka19
0
Решение приложено в файле:
Приложения:
Вас заинтересует