• Предмет: Математика
  • Автор: gangsterpys
  • Вопрос задан 10 лет назад

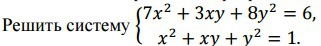
Помогите пожалуйста с решением данного задания! Буду очень благодарен.

Приложения:

Ответы

Ответ дал: NNNLLL54
0
 left { {{7x^2+3xy+8y^2=6} atop {x^2+xy+y^2=1|cdot (-6)}} right. ; oplus  left { {{y=7x^2+3xy+8y^2=6} atop {x^2-3xy+2y^2=0}} right. \\x^2-3xy+2y^2=0; |:y^2ne 0; ; (yne 0)\\ (frac{x}{y} )^2-3cdot  frac{x}{y} +2=0; ,; ; ; t= frac{x}{y} \\t^2-3t+2=0; ,; ; ; t_1=1,; ; t_2=2; ; (teorema; Vitta)\\a)quad  frac{x}{y} =1; ; to ; ; x=y\\x^2+xy+y^2=y^2+y^2+y^2=3y^2; ,; ; 3y^2=1; ,; ; y^2= frac{1}{3}

y=pm  frac{1}{sqrt3} ; ; to ; ; x=pm frac{1}{sqrt3}

b)quad  frac{x}{y} =2; ; to ; ; x=2y\\x^2+xy+y^2=4y^2+2y^2+y^2=7y^2; ,; ; 7y^2=1; ,; ; y^2= frac{1}{7} \\y=pm frac{1}{sqrt7}; ; to ; ; x=pm frac{1}{sqrt7}\\Otvet:; ; ( frac{1}{sqrt3};  , frac{1}{sqrt3} ); ,( -frac{1}{sqrt3};  , -frac{1}{sqrt3} ); ,(frac{1}{sqrt7} ; , frac{1}{sqrt7} ); ,; (- frac{1}{sqrt7} ; ,-frac{1}{sqrt7} ); .
Вас заинтересует