• Предмет: Алгебра
  • Автор: sado37
  • Вопрос задан 9 лет назад

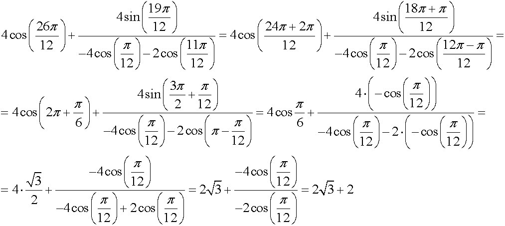
4 cos(26П/12) + 4 sin(19П/12) / - 4 cos(П/12) - 2 cos (11П/12)

Ответы

Ответ дал: mishka19
0
Решение приложено в файле:
Приложения:
Ответ дал: sado37
0
Спасибо огромное !!!!!!!! ^.^
Вас заинтересует