Помогите пожалуйста! Алгебра 8 класс 8 вопросов!!! даю 80 баллов!!
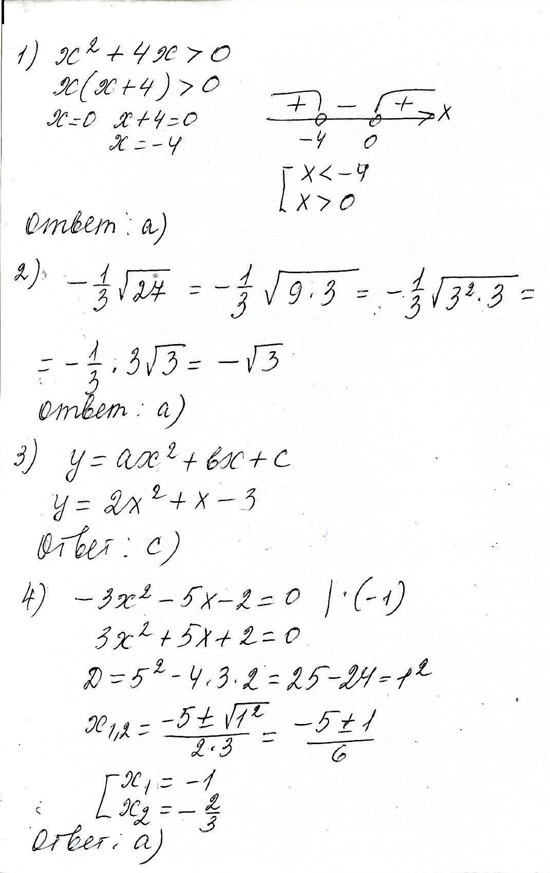
1. Найдите решения неравенства x² + 4x > 0
a)x < -4 ; x > 0 b)0 < x < 4
с)-4 < x < 0 d)x > 0
2. После вынесения множителя из-под знака корня выражение -1/3 √27 имеет вид:
a) -√3 b) -3
c) 3 d)√3
3. Какая из функций является квадратичной?
a) y = x² - x³ b) y = 5x - 1
c)y = x + 2x² - 3 d)y = √x - x²
4. Найдите нули функции y = -3x² -5x -2
a) -1 и -2/3 b)1 и 0
c)-3 и -2 d) 1 и 2/3
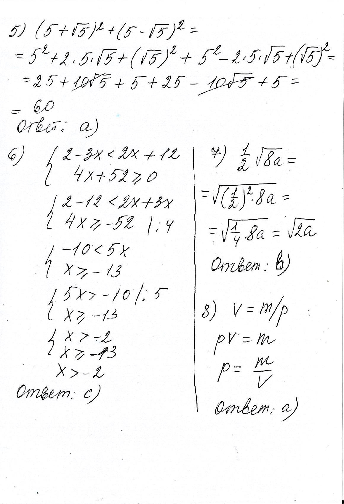
5. Является ли значение выражения (5 + √5)² + (5 − √5 )² натуральным числом?
a) да b) нет
6. Решите систему неравенств

a) -14 < x < -13 b) x < -13
c) x > -2 d) -13 ≤ x < -2
7. Внесите множитель под знак корня 1/2 √8a
a) √4a b) √2a
c) √2a² d) √4a²
8. Из формулы v = m/p выразите p через v и m
a) p = m/v b) p = m v/v
c) p = v/m d) p = v - m
Ответы
Ответ дал:
0
Решения приложены в файлах:
Приложения:


Ответ дал:
0
1
x(x+4)>0
x=0 x=-4
x<-4 U x>0
Ответ а
2
-1/3*√27=-1/3*3√3=-√3
Ответ а
3
Ответ с
4
у=-3х²-5х-2
3х²+5х+2=0
D=25-24=1
x1=(-5-1)/6=-1
x2=(-5+1)/6=-2/3
Ответ а
5
(5+√5)²+(5-√5)²=25+10√5+5+25-10√5+5=60
Ответ а
6
{2-3x<2x+12⇒5x>-10⇒x>-2
{4x+52≥0⇒4x≥-52⇒x≥-13
x∈(-2;∞)
Ответ с
7
1/2*√8a=1/2*2√2a=√2a
Ответ b
8
v=m/p
p=m/v
Ответ а
x(x+4)>0
x=0 x=-4
x<-4 U x>0
Ответ а
2
-1/3*√27=-1/3*3√3=-√3
Ответ а
3
Ответ с
4
у=-3х²-5х-2
3х²+5х+2=0
D=25-24=1
x1=(-5-1)/6=-1
x2=(-5+1)/6=-2/3
Ответ а
5
(5+√5)²+(5-√5)²=25+10√5+5+25-10√5+5=60
Ответ а
6
{2-3x<2x+12⇒5x>-10⇒x>-2
{4x+52≥0⇒4x≥-52⇒x≥-13
x∈(-2;∞)
Ответ с
7
1/2*√8a=1/2*2√2a=√2a
Ответ b
8
v=m/p
p=m/v
Ответ а
Приложения:


Ответ дал:
0
большое спасибо)
Вас заинтересует
2 года назад
2 года назад
7 лет назад
9 лет назад
10 лет назад