Ответы
Ответ дал:
0
1,3*10^5*4*10^4/10^2=
1)1,3*10^5=1,3*100000=130000
2)130000*4=520000
3)520000*10^4=520000*10000=5200000000
4)5200000000:10^2=5200000000:100=52000000
1)1,3*10^5=1,3*100000=130000
2)130000*4=520000
3)520000*10^4=520000*10000=5200000000
4)5200000000:10^2=5200000000:100=52000000
Ответ дал:
0
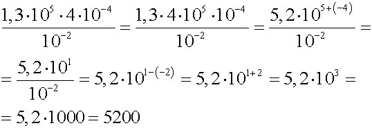
Решение на картинке:
Приложения:

Вас заинтересует
2 года назад
2 года назад
9 лет назад
10 лет назад