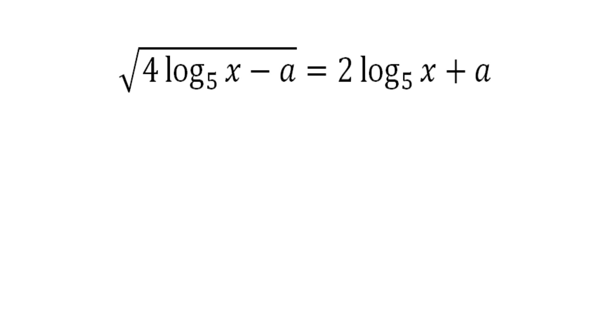
При каких значениях параметра а, число 25 является корнем уравнения (фото)
√(4 log_5〖x-a〗 )= 2log_5x+a
Приложения:
Ответа на этот вопрос пока нет. Попробуйте найти его через форму поиска.
Вас заинтересует
2 года назад
2 года назад
7 лет назад
7 лет назад
10 лет назад
10 лет назад
10 лет назад
10 лет назад