решите уровнения sinx- корень из 2 ×sin3x= -sin5x
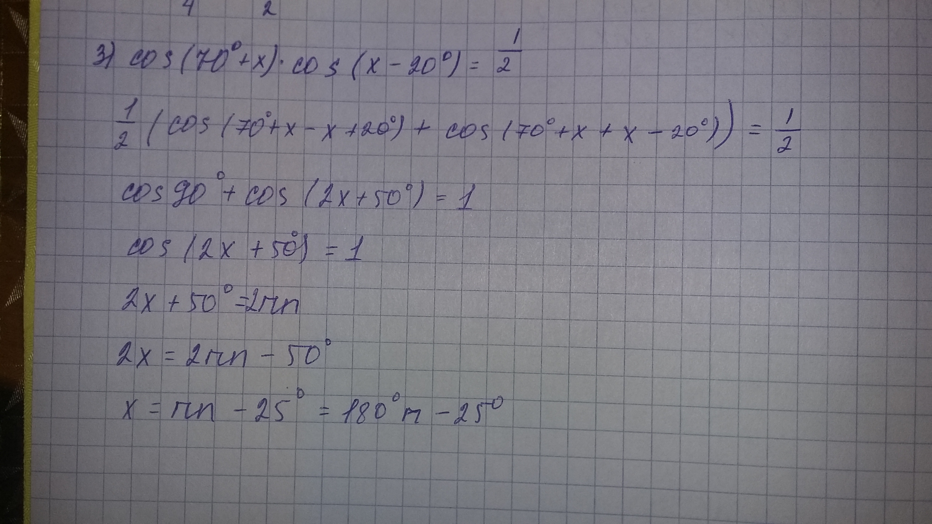
cos (70°+x)cos (x-20°)=1/2
2sin (40°+x)sin (x-50°)+1=0
sin3x- корень из 3×cos2x=sinx
Ответы
Ответ дал:
0
думаю это так
если не понятно,спроси
если не понятно,спроси
Приложения:

Вас заинтересует
2 года назад
7 лет назад
9 лет назад
9 лет назад