• Предмет: Алгебра
  • Автор: elitooos
  • Вопрос задан 9 лет назад

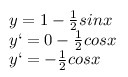
y=1-1/2 sin x найдите производную

Ответы

Ответ дал: Кира1995
0
Вот,не моё но надеюсь помогла)
Приложения:
Вас заинтересует