• Предмет: Математика
  • Автор: dar1725
  • Вопрос задан 10 лет назад

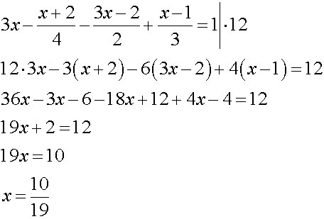
3х-х+2/4-3х-2/2+х-1/3=1
Помогите!!!
Пожалуйста я тупой

Ответы

Ответ дал: Лалочка11
0
вот как то так пожалуйста)
Приложения:
Ответ дал: Лалочка11
0
Даже спасибо не скажут
Ответ дал: Лалочка11
0
Даже спасибо не скажут
Ответ дал: dar1725
0
Спасибо!!!
Вас заинтересует