Ответы
Ответ дал:
0
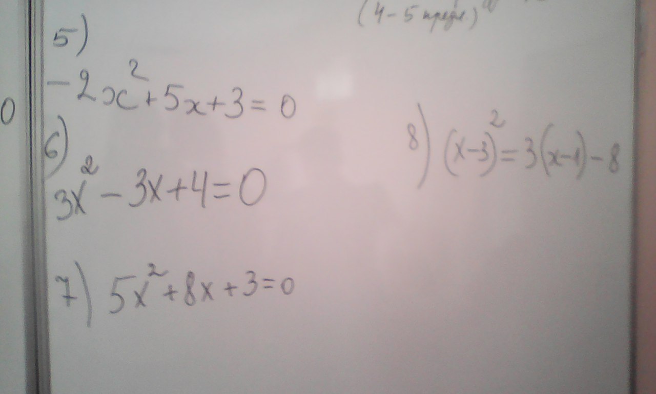
6) 3x^2-3x+4=0
D=b^2-4ac
D=9-48=-39 нет решения
7)5x^2+8x+3=0
D=64-60=4
x(1)=(-b^2+(корень из D))/2a x(2)=(-b^2-(корень из D))/2a
x(1)=(64+2)/10=6,6 x(2)=(64-2)/10=6,2
D=b^2-4ac
D=9-48=-39 нет решения
7)5x^2+8x+3=0
D=64-60=4
x(1)=(-b^2+(корень из D))/2a x(2)=(-b^2-(корень из D))/2a
x(1)=(64+2)/10=6,6 x(2)=(64-2)/10=6,2
Ответ дал:
0
уже не надо
Вас заинтересует
3 года назад
3 года назад
8 лет назад
8 лет назад
10 лет назад
10 лет назад
10 лет назад