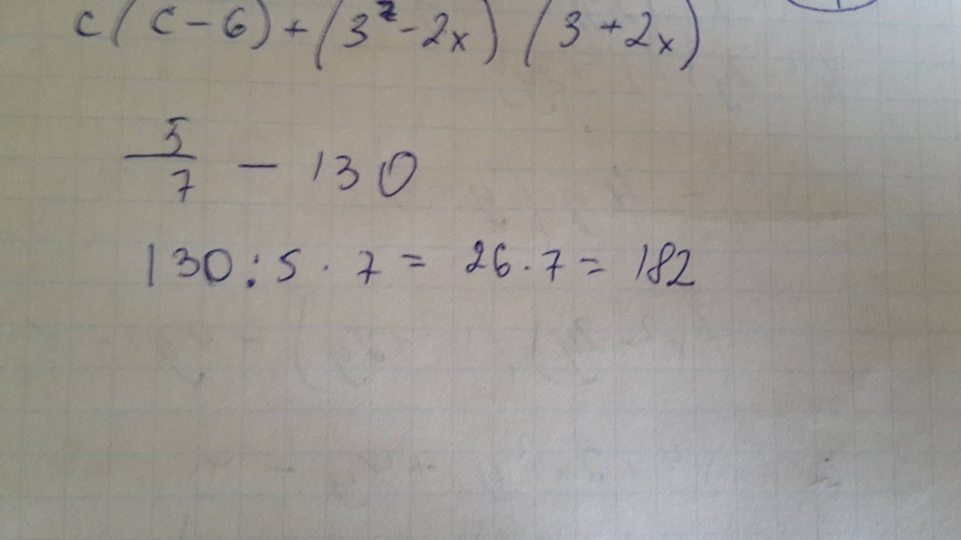
Марат истратил 130 теньге на покупку тетрадей.Что составляет дробь 5 7 его денег.Сколько всего было денег у Марата?
Ответы
Ответ дал:
0
частей 5, делим 130 на 5, чтобы узнать одну часть
узнали, умножаем на все части
узнали, умножаем на все части
Приложения:
Вас заинтересует
2 года назад
2 года назад
7 лет назад
7 лет назад
10 лет назад
10 лет назад