• Предмет: Алгебра
  • Автор: BlueSky10
  • Вопрос задан 9 лет назад

Решите пожалуйста это выражение)

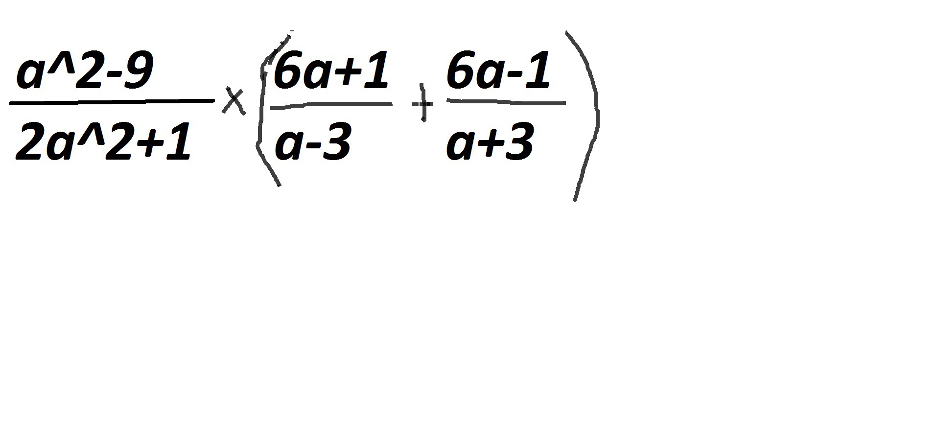
Приложения:

Ответы

Ответ дал: Apofeoz
0
frac{a^2-9}{2a^2+1}bullet(frac{6a+1}{a-3}+frac{6a-1}{a+3})=frac{a^2-9}{2a^2+1}bullet(frac{(6a+1)(a+3)}{(a-3)(a+3)}+frac{(6a-1)(a-3)}{(a+3)(a-3)})=\\=frac{a^2-9}{2a^2+1}bulletfrac{(6a+1)(a+3)+(6a-1)(a-3)}{(a-3)(a+3)}=frac{a^2-9}{2a^2+1}bulletfrac{(6a+1)(a+3)+(6a-1)(a-3)}{a^2-9}=\\=frac{(6a+1)(a+3)+(6a-1)(a-3)}{2a^2+1}=frac{6a^2+18a+a+3+(6a^2-18a-a+3)}{2a^2+1}=\\=frac{12a^2+3+3}{2a^2+1}=frac{12a^2+6}{2a^2+1}=frac{6(2a^2+1)}{2a^2+1}=6.
Вас заинтересует