Ответы
Ответ дал:
0
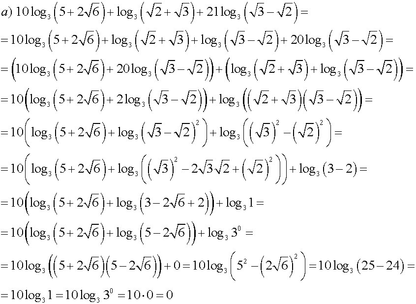
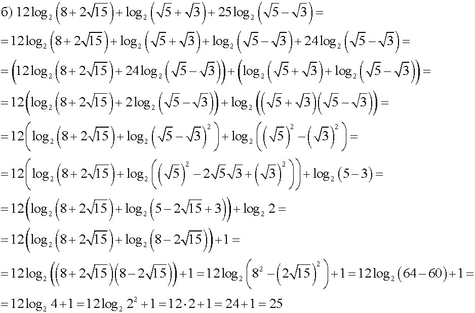
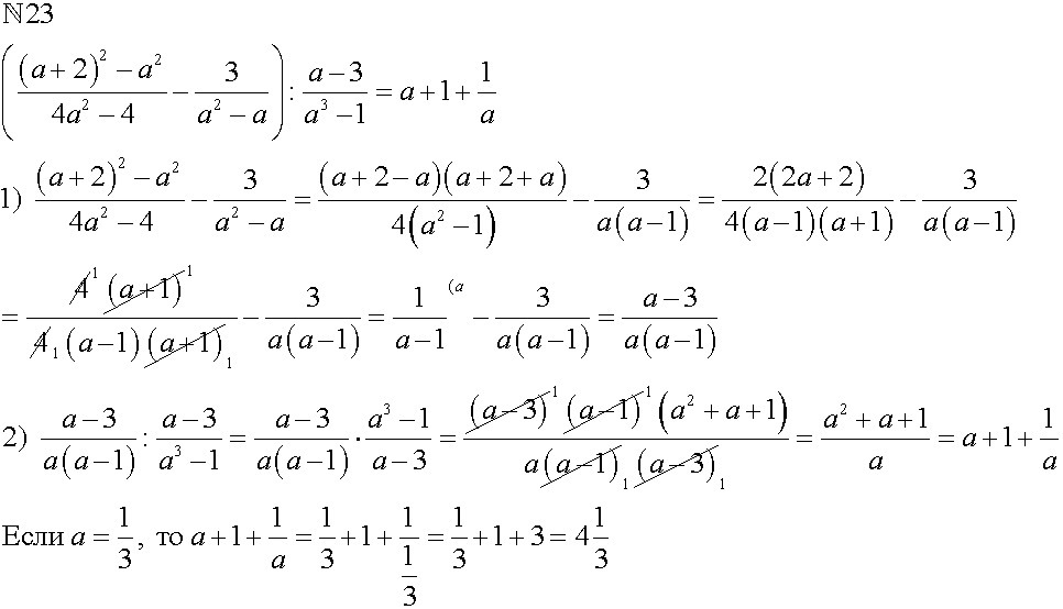
Решения на картинках:
Приложения:



Вас заинтересует
2 года назад
2 года назад
7 лет назад
9 лет назад
9 лет назад
10 лет назад