Ответы
Ответ дал:
0
я хз но вродебы так
скобки сокращаються в ноль
-9x^2+6x-4=0
а дальше как линейное уровнение
скобки сокращаються в ноль
-9x^2+6x-4=0
а дальше как линейное уровнение
Ответ дал:
0
.............................................
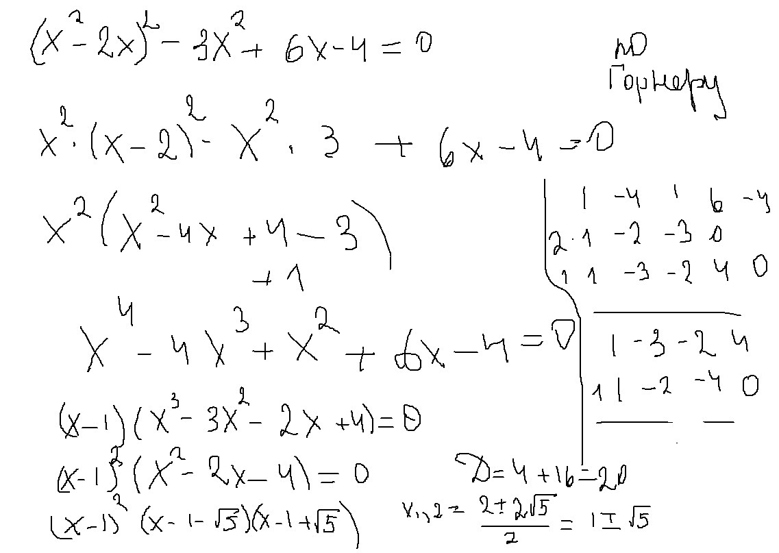
Приложения:

Вас заинтересует
2 года назад
2 года назад
9 лет назад
10 лет назад