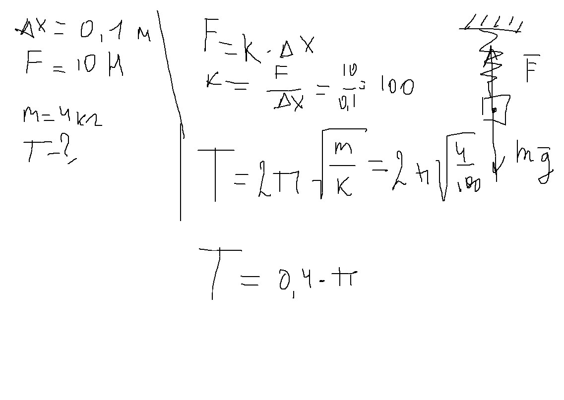
чтобы растянуть легкую пружину на x=10 сантиметров требуется приложить силы модуль которой 10 H к пружине подвесили тело массой 4 кг период свободных вертикальных колебаний тела равен
Ответы
Ответ дал:
0
...............................................
Приложения:

Вас заинтересует
2 года назад
2 года назад
9 лет назад
9 лет назад
10 лет назад