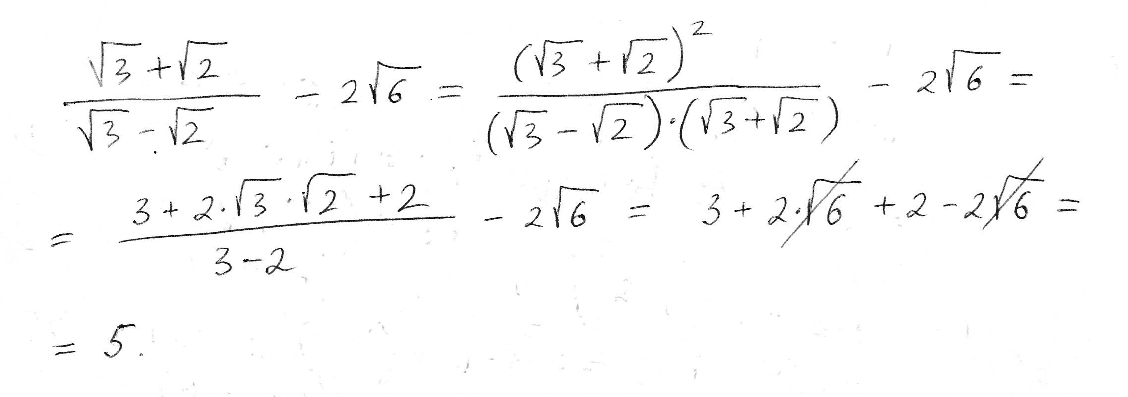
Решите пожалуйста Докажите рациональность чисел
Корень из 3+корень из 2,дробь корень из 3 - корень из 2,и от этого всего отнять 2 корень из 6
Надеюсь понятно
Ответы
Ответ дал:
0
я на листочке написал.
Приложения:

Вас заинтересует
2 года назад
7 лет назад
9 лет назад
10 лет назад