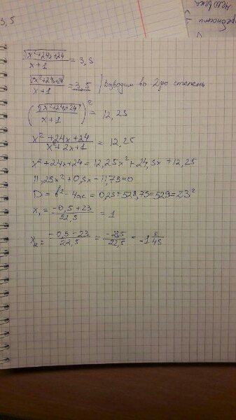
Помогите, пожалуйста, с уравнением. 8-9 класс. Ответ: 1. Необходимы шаги решения. 50 баллов.
Приложения:

Ответы
Ответ дал:
0
Вот подробное решение. Если что-то непонятно-объясню. Понравилось, ставь "Лучший ответ"
Приложения:

Ответ дал:
0
Спасибо большое, всё понятно, просто после лета туго соображается)
Вас заинтересует
2 года назад
2 года назад
7 лет назад
7 лет назад
9 лет назад
9 лет назад
10 лет назад