• Предмет: Алгебра
  • Автор: Larmir
  • Вопрос задан 11 лет назад

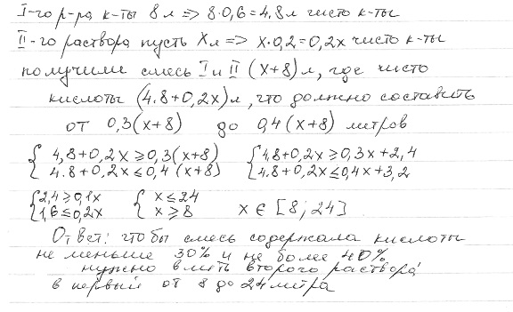
В раствор объёмом 8л, содержащей 60% кислоты, вливают раствор, содержащий 20% кислоты. Сколько нужно влить второго раствора в первый, что бы смесь содержала кислоты не меньше 30% и не больше 40%

Ответы

Ответ дал: Ellenochka
0

я не знаю подойдет ли такой ход решения, но у меня вышло так:

Приложения:
Вас заинтересует