• Предмет: Алгебра
  • Автор: AlisAnarxistka
  • Вопрос задан 11 лет назад

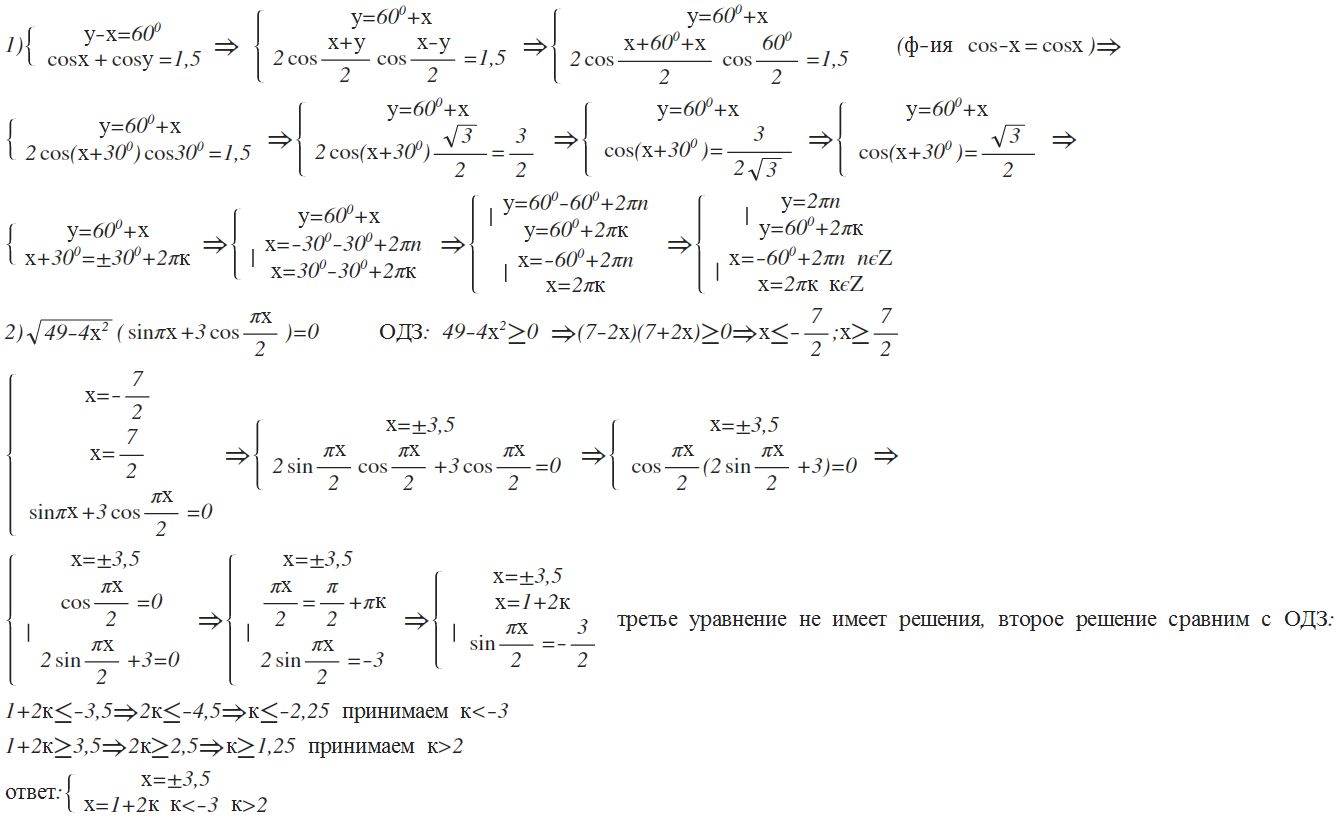
Тригонометрия. 2 задания. (см. вложения)

Приложения:

Ответы

Ответ дал: palilov2436
0

решение смотри во вложении

Приложения:
Вас заинтересует