• Предмет: Алгебра
  • Автор: SOFIAY2356
  • Вопрос задан 10 лет назад

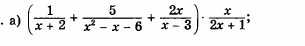
Помогите упростить выражение. Подробно, пожалуйста. Очень хочется понять :(

Приложения:

Ответа на этот вопрос пока нет. Попробуйте найти его через форму поиска.

Вас заинтересует