Ответы
Ответ дал:
0
Держи, надеюсь, все понятно написано, если что - обращайся:)
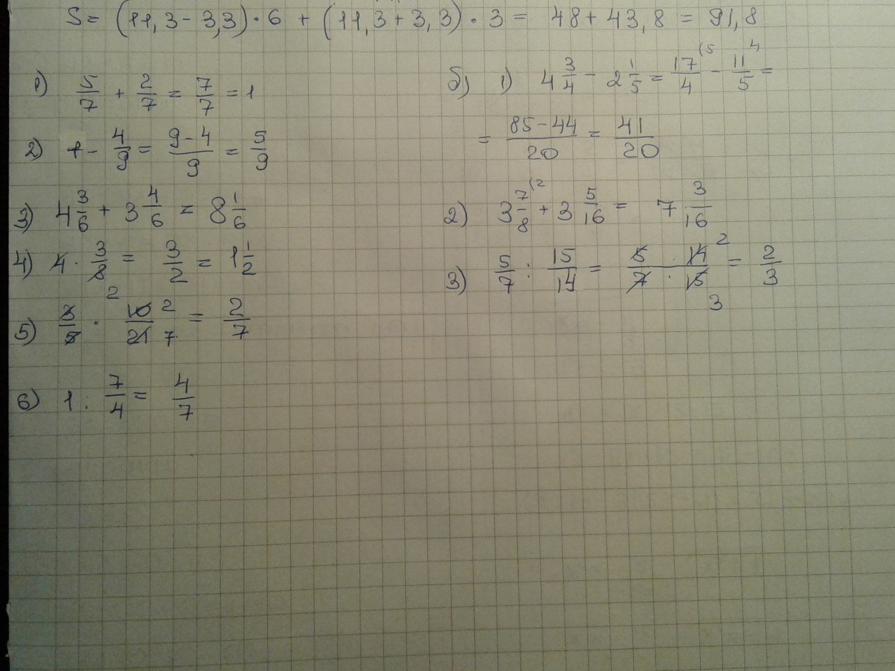
Исправлена ошибка: б1 19/4-11/5=(95-44)/20=51/20=2,55
Исправлена ошибка: б1 19/4-11/5=(95-44)/20=51/20=2,55
Приложения:


Ответ дал:
0
Добавил) Извините, не заметил, что В тоже нужно было решить)
Ответ дал:
0
Спасибо!
Ответ дал:
0
Кстати первое в б не правильно) Оно то мне и нужно было...
Ответ дал:
0
нашел ошибку, сейчас, извините, торопился :(
Ответ дал:
0
19/4-11/5= (90-44)/20= 46/20-23/10=2,3
Вас заинтересует
2 года назад
7 лет назад
9 лет назад
9 лет назад
10 лет назад
10 лет назад