Ответы
Ответ дал:
0
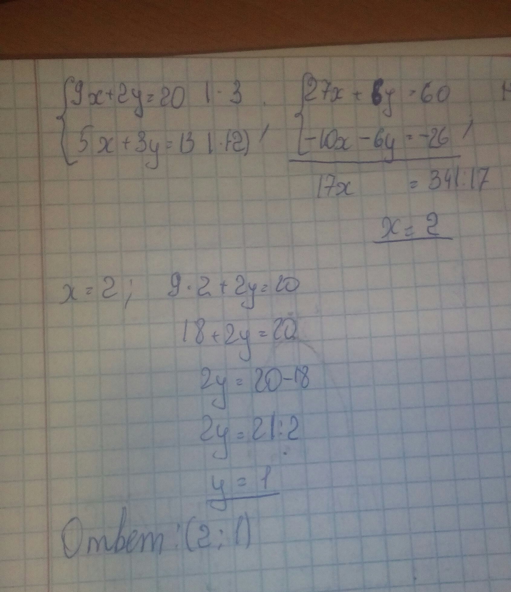
9х+2у=20
5х+3у=13 (решим методом сложения, умножим 1 уравнение на 3,а второе на (-2))
27х+6у=60
-10х-6у=-26
-----------------
17х=34
х=2
Вычислим у из 1 уравнения
9·2+2у=20
18+2у=20
2у=20-18
2у=2
у=1
Ответ: х=2; у=1 или (2;1)
5х+3у=13 (решим методом сложения, умножим 1 уравнение на 3,а второе на (-2))
27х+6у=60
-10х-6у=-26
-----------------
17х=34
х=2
Вычислим у из 1 уравнения
9·2+2у=20
18+2у=20
2у=20-18
2у=2
у=1
Ответ: х=2; у=1 или (2;1)
Ответ дал:
0
Чтобы коэффициенты перед у были равны по модулю,но противоположны по знаку. Тогда при сложении 6х +( -6х) = 0х=0 Или можно было умножить первое на 5,а второе на (-9) , тогда у при сложении уничтожились бы.
Ответ дал:
0
Извини, тогда х уничтожились бы.
Ответ дал:
0
Понял спасибо
Ответ дал:
0
у тебя говноо
Ответ дал:
0
Веди себя корректно, пожалуйста. Ты в соцсетях, а не у себя дома.
Ответ дал:
0
смотри,нас так учили в школе.Поймёшь,надеюсь.
Приложения:
Ответ дал:
0
нет всмысле, как ты их подобрала?
Ответ дал:
0
самое оптимальный вариант это 6
Ответ дал:
0
нужно чтобы и в первом уравнение,и во втором было одно и тоже чиссло,следовательно самое маленькое это 6
Ответ дал:
0
Понял, спасибо
Ответ дал:
0
спс реал помогла
Вас заинтересует
3 года назад
8 лет назад
8 лет назад
10 лет назад
10 лет назад
10 лет назад