• Предмет: Алгебра
  • Автор: люблю1234
  • Вопрос задан 11 лет назад

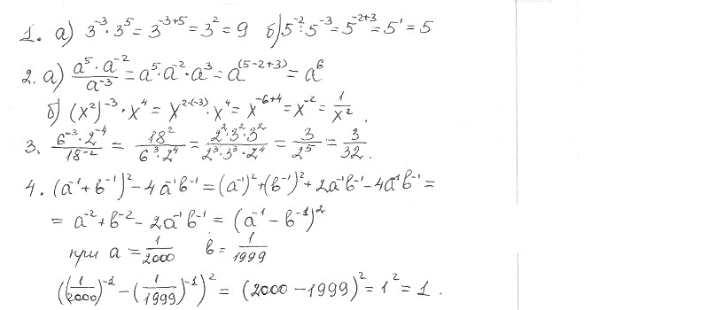
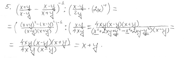
ПОЖАЛУЙССТА ПОМОГИТе,МоГУ ДЕНЬГИ НА ТЕЛЕФОН КИНУТЬ,ПОМОГИТЕ!!!смотрите во вложениях

 

Приложения:

Ответы

Ответ дал: Ellenochka
0

мой вариант решения данных заданий во вложении

Приложения:
Вас заинтересует