Ответы
Ответ дал:
0
1


2

2
Ответ дал:
0
в последнем примере 13c вместо 11с
Ответ дал:
0
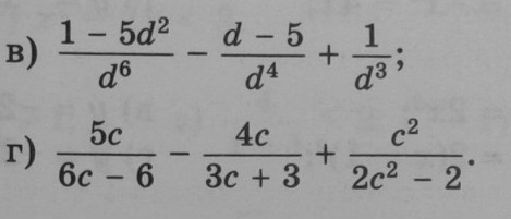
Решение...............................
Приложения:

Ответ дал:
0
Спасибо)))
Вас заинтересует
2 года назад
2 года назад
7 лет назад
7 лет назад
9 лет назад
9 лет назад
10 лет назад