• Предмет: Физика
  • Автор: popi7
  • Вопрос задан 10 лет назад

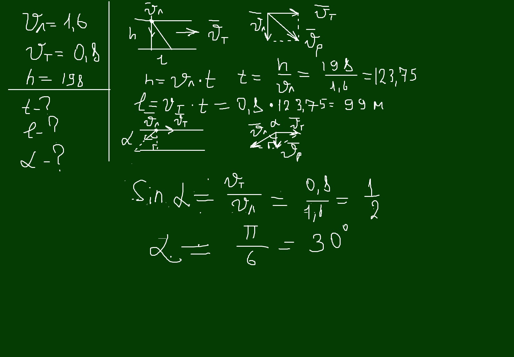
Через реку переплывает лодка, выдерживающая курс, перпендикулярно течению. Скорость лодки 1,6 м/с, скорость течения 0,8 м/с, ширина реки 198 м. Найти время, за которое лодка пересечёт реку. На сколько метров снесёт лодку по течению? Под каким углом к первоначальному курсу должна плыть лодка, чтобы её не снесло?

Ответы

Ответ дал: NesKolins
0
....................................
Приложения:
Вас заинтересует