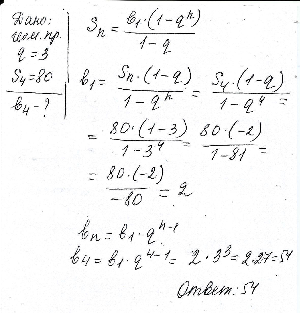
ПОМОГИТЕ ПОЖАЛУЙСТА !Найдите четвертый член геометрической прогрессии ,знаменатель которого равен 3,а сумма четырех первых ее членов равна 80.
Ответы
Ответ дал:
0
Решение на картинке:
Приложения:

Вас заинтересует
2 года назад
2 года назад
7 лет назад
7 лет назад
10 лет назад