• Предмет: Физика
  • Автор: Kofigimun
  • Вопрос задан 10 лет назад

Треть всего пути автомобиль проехал с постоянной скоростью VI =40 км/ч. Затем треть всего времени он ехал с постоянной скоростью V2 = 90 км/ч. Найдите среднюю скорость на всём пути, если она оказалась равна средней скорости на оставшемся
участке.

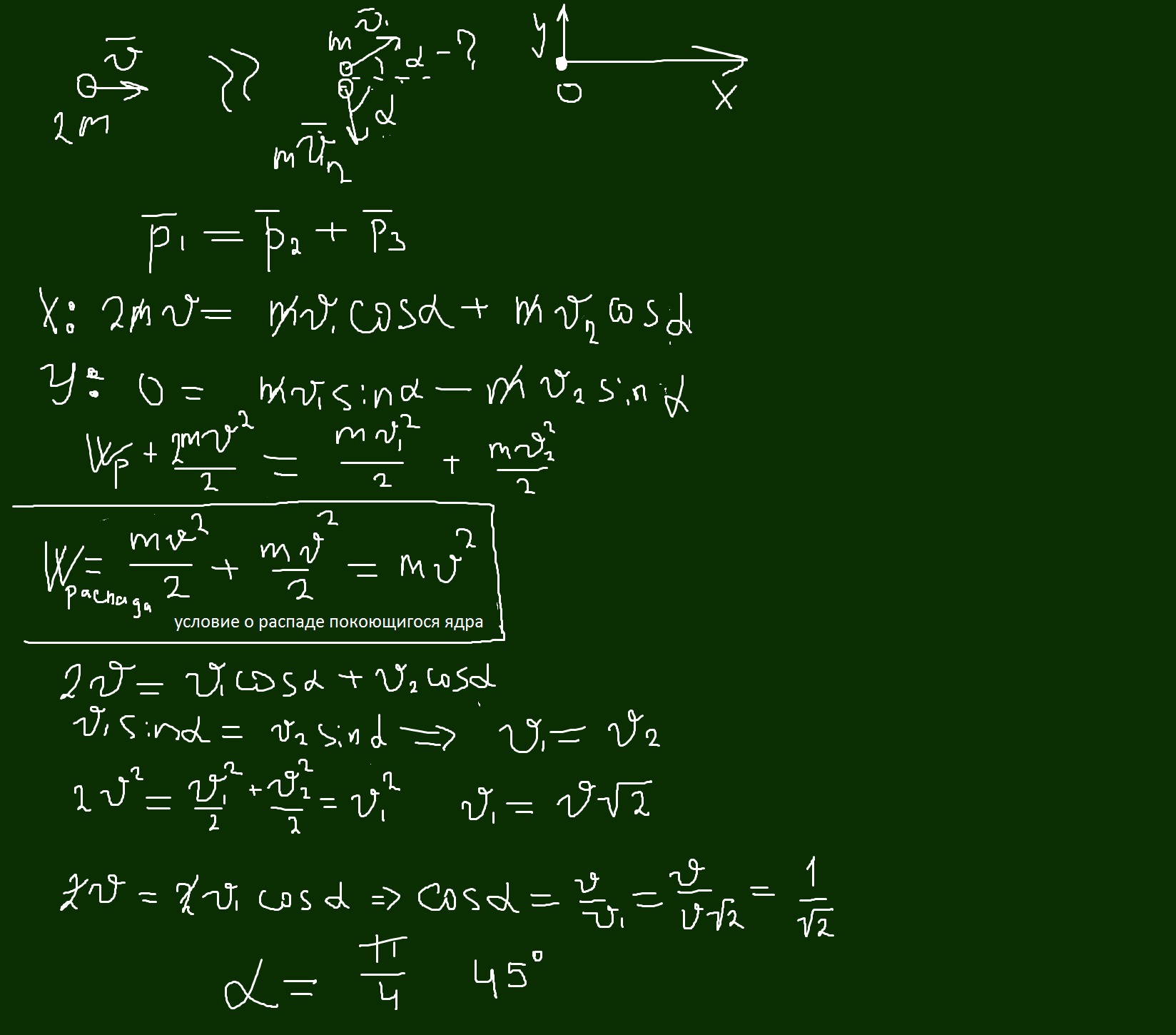
Атомное ядро летит со скоростью v и распадается на два одинаковых осколка.
Определите максимально возможный угол а между скоростью ядра и скоростью
осколка, если известно, что при распаде покоящегося ядра каждый из осколков приобретает скорость и.

Ответы

Ответ дал: NesKolins
0
насчет 2 задачи, неточно

Приложения:
Ответ дал: Kofigimun
0
Там сначала треть пути, а затем треть ВРЕМЕНИ.
Ответ дал: NesKolins
0
Извини, невнимательность. У меня есть ответ учитывая правильное условие это 6 км/ч. Если у тебя есть ответы и если мой ответ сошелся, то могу скинуть решение.
Ответ дал: Kofigimun
0
Ответов нет.
Вас заинтересует