• Предмет: Алгебра
  • Автор: Dendimonka
  • Вопрос задан 10 лет назад

Шестое задание! Пожалуйста

Ответы

Ответ дал: kirichekov
0
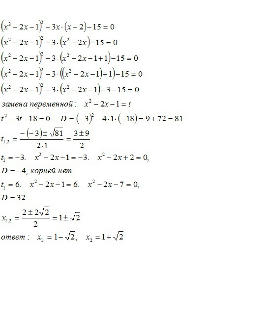
решение во вложении------------------
Приложения:
Вас заинтересует