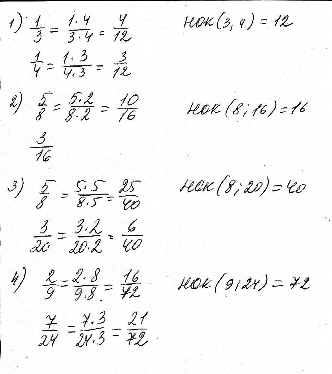
Приведите к приведите к наименьшему общему знаменателю дроби
1/3 и 1/4
5/8 и 3/16
5/8 и 3/20
2/9 и 7/24
Ответы
Ответ дал:
0
Решение на картинке:
Приложения:
Ответ дал:
0
1/3=4/12 и 1/4 =3/12
НОК(3,4)=12
5/8=10/16 и 3/16
НОК(8,16)=16
5/8=25/40 и 3/20=6/40
НОК(8,20)=40
2/9=16/72 и 7/24=21/72
НОК(9,24)=72
НОК(3,4)=12
5/8=10/16 и 3/16
НОК(8,16)=16
5/8=25/40 и 3/20=6/40
НОК(8,20)=40
2/9=16/72 и 7/24=21/72
НОК(9,24)=72
Приложения:
Вас заинтересует
3 года назад
3 года назад
8 лет назад
8 лет назад
10 лет назад
10 лет назад
10 лет назад