Ответы
Ответ дал:
0
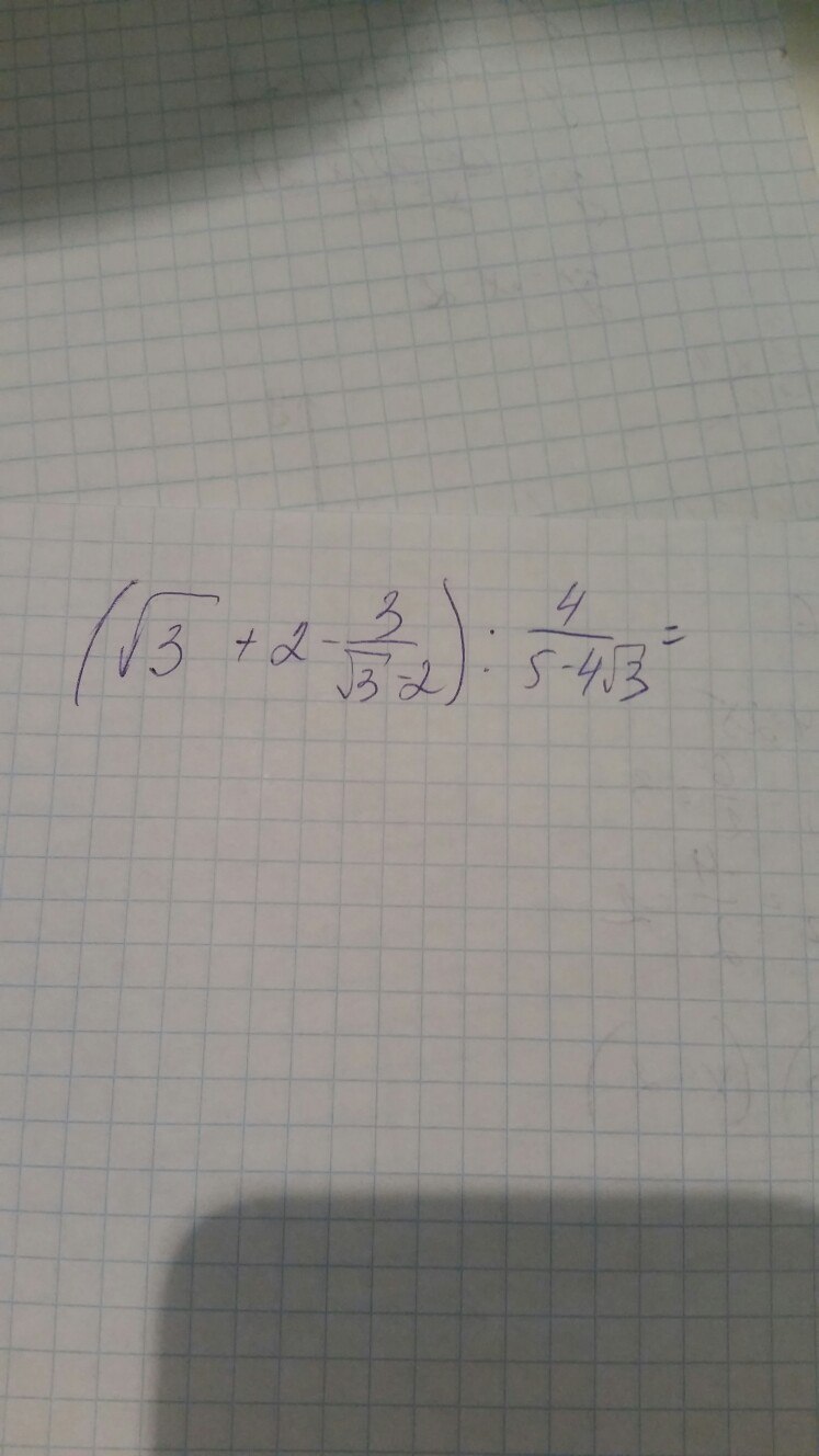
1)(√3+2)-3/(√3-2)=(3-4-3)/(√3-2)=-4/(√3-2)=4/(2-√3)
2)4/(2-√3)*(5-4√3)/4=(5-4√3)/(2-√3)=(5-4√3)(2+√3)/(2-√3)(2+√3)=
=(10+5√3-8√3-12)/(4-3)=-2-3√3
2)4/(2-√3)*(5-4√3)/4=(5-4√3)/(2-√3)=(5-4√3)(2+√3)/(2-√3)(2+√3)=
=(10+5√3-8√3-12)/(4-3)=-2-3√3
Вас заинтересует
3 года назад
3 года назад
8 лет назад
10 лет назад
10 лет назад