Ответы
Ответ дал:
0
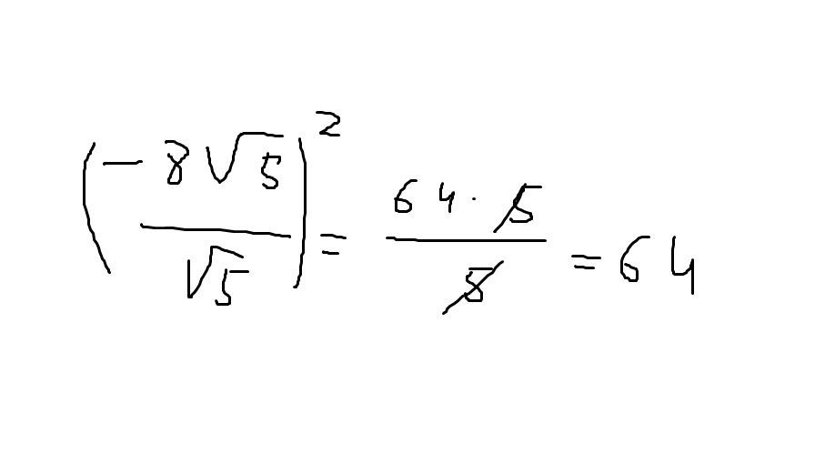
кажись так, возводишь в квадрат и просто сокращаешь ^^
Приложения:


Ответ дал:
0
спасибо,
Ответ дал:
0
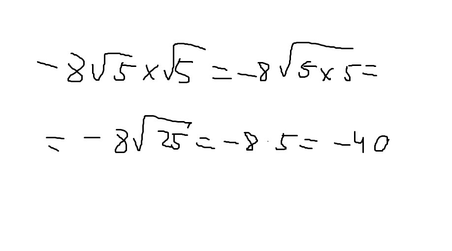
а при умножении
Ответ дал:
0
??
Ответ дал:
0
добавил в решение
Ответ дал:
0
спасибо большае , реально помог
Вас заинтересует
2 года назад
2 года назад
7 лет назад
7 лет назад
9 лет назад
9 лет назад
10 лет назад