Ответы
Ответ дал:
0
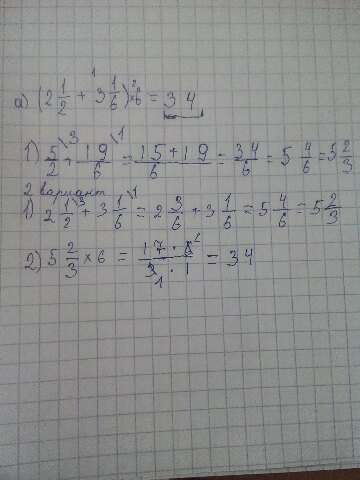
(2 1/2 + 3 1/6) * 6 = (2 3/6 + 3 1/6) * 6 = 5 4/6 * 6 = 34/6 * 6 = 204/6 = 34
Ответ дал:
0
Как-то так. Сделала 2 варианта, тк везде по-разному.
Приложения:

Ответ дал:
0
Спасибо)))
Вас заинтересует
2 года назад
2 года назад
7 лет назад
9 лет назад
9 лет назад
10 лет назад