• Предмет: Алгебра
  • Автор: vikulay2003
  • Вопрос задан 9 лет назад

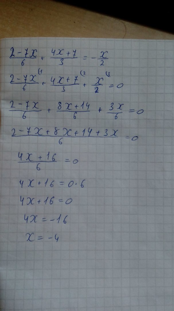
Решите уравнение: 2-7х дробь 6+4х+7 дробь 3=-х дробь 2

Ответы

Ответ дал: OPetroW
0
Вот, решил на фотографии. Коротко о решении: Сначала нужно всё перенести в одну сторону, потом привести к общему знаменателю, посчитать, сократить знаменатель и получится простейшее уравнение.
Приложения:
Ответ дал: vikulay2003
0
Спасибо)
Ответ дал: vikulay2003
0
можешь ещё один решить?
Ответ дал: OPetroW
0
Кнопочку. Могу, но тогда новый вопрос. А то так не смогу выложить картинку
Ответ дал: vikulay2003
0
3 дробь 4 х (это не знаменатель) +2х +5=2 целых 3 дробь 4 х (не знаменатель) +4,1+0,9
Вас заинтересует