Ответы
Ответ дал:
0
.............................................
Приложения:

Ответ дал:
0
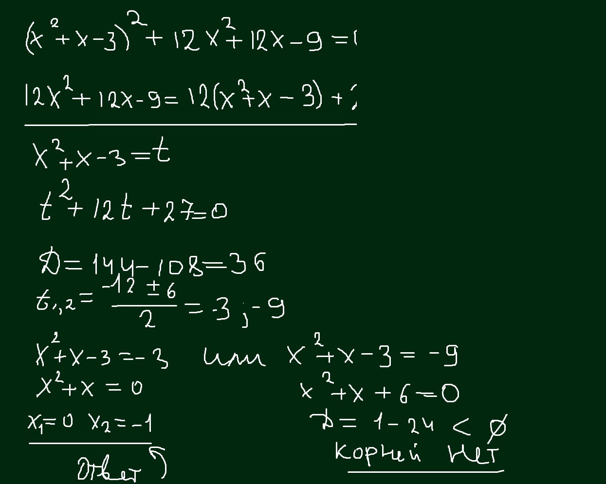
во второй строчке +27
Ответ дал:
0
объясни, пожалуйста, самое первое действие. не поняла, почему так
Ответ дал:
0
а,нет, разобралась)
Ответ дал:
0
куда пошел квадрат с первой скобки?
Ответ дал:
0
когда заменили x^2+x-3 на t, то первая скобка которая в квадрате заменили на t^2
Вас заинтересует
2 года назад
2 года назад
7 лет назад
7 лет назад
9 лет назад