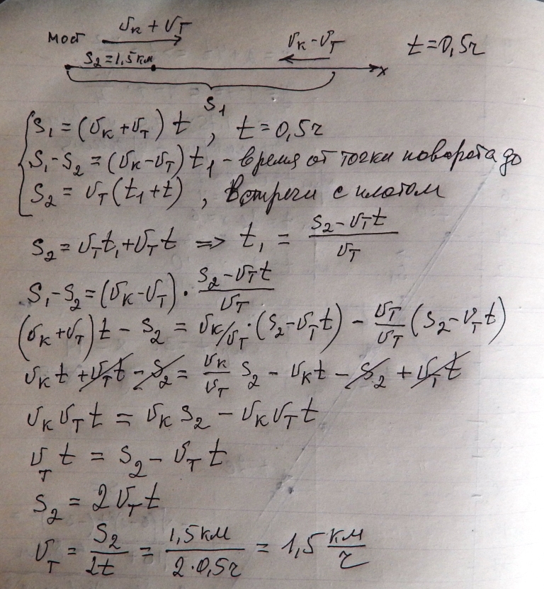
з катера,що рухається за течією, в момент коли він проходив під мостом, випав рятувальний круг. через півгодини катре змінив напрям руху на протилежний і зустрів круг на відстані 1,5 км від мосту. визначте швидкість течії
Ответы
Ответ дал:
0
Ответ смотри на фотографии.
Приложения:

Ответ дал:
0
спасибо)
Вас заинтересует
2 года назад
7 лет назад
7 лет назад
9 лет назад
10 лет назад
10 лет назад