Ответы
Ответ дал:
0
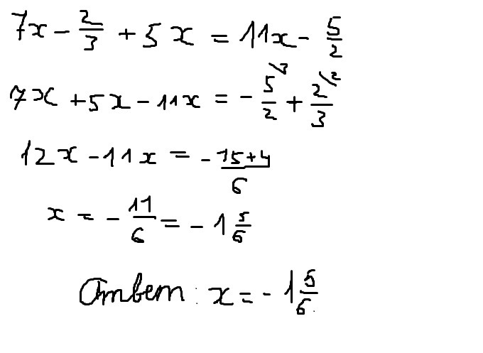
Кажись делается так. (буквы для 20 символов)
Приложения:

Вас заинтересует
2 года назад
7 лет назад
7 лет назад
9 лет назад
9 лет назад
10 лет назад
10 лет назад