• Предмет: Алгебра
  • Автор: killjoy2015
  • Вопрос задан 10 лет назад

Помогите решить с подробным разбором

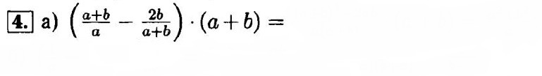
Приложения:

Ответы

Ответ дал: Соммон
0
Сначала действие в скобках. Чтобы отнять нужен общий знаминатель. Умножаем знаминатели, чтобы получить его: а×(а+в). Получается ((а+в)^2-2ав)/(а (а+в)). Теперь результат первого действия умножаем на а+в. Сокрашаем а+в в знаминателе и множитель, получается ((а+в)^2-2ав)/а. Теперь раскрываем (а+в)^2 на а^2+2ав+в^2. (а^2+2ав+в^2-2ав)/а=(а^2+в^2)/а. Ответ: (а^2+в^2)/а.
Вас заинтересует