Ответы
Ответ дал:
0
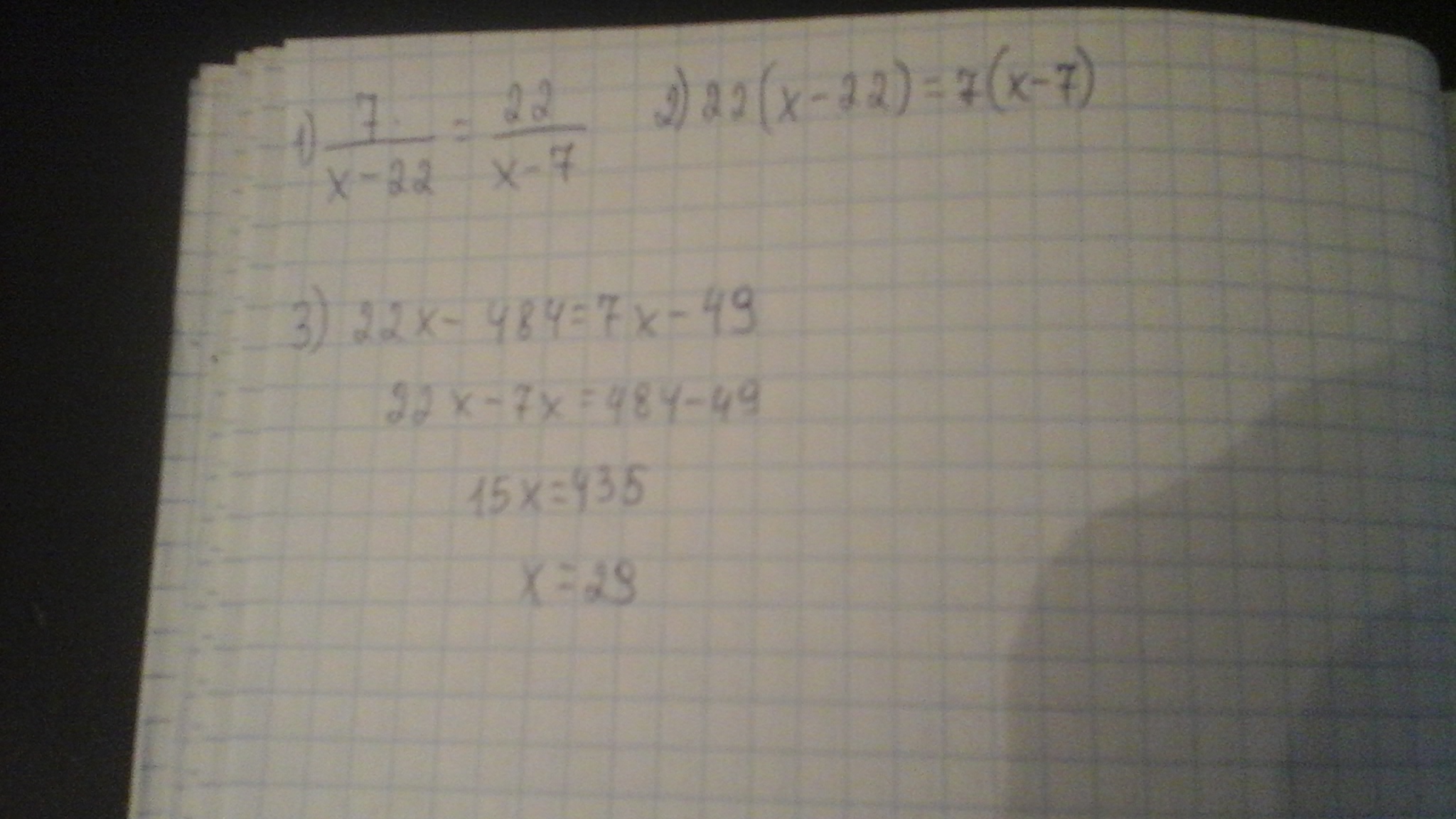
Вот в тетради написал
Приложения:

Ответ дал:
0
Спасибо, а можешь объяснить как оно решается?
Ответ дал:
0
это пропорция,а значит произведение крайних членов равно произведению средних,т.е умножаем числитель первой дроби на знаменатель второй и числитель второй на знаменатель первой
Ответ дал:
0
а дальше раскрываем скобки и решаем
Вас заинтересует
2 года назад
2 года назад
7 лет назад
9 лет назад
10 лет назад
10 лет назад