• Предмет: Алгебра
  • Автор: Butterflу2016
  • Вопрос задан 10 лет назад

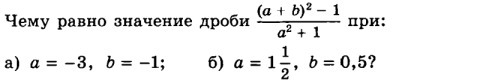
СРОЧНО я не успеваю только под буквой (б)

Приложения:

Ответы

Ответ дал: iliyatol
0
0(но я не уверен извини)
Вас заинтересует