Ответы
Ответ дал:
0
1.

2.

2.
Ответ дал:
0
СПАСИБО ОГРОМНОЕЕЕ
Ответ дал:
0
Не за что)
Ответ дал:
0
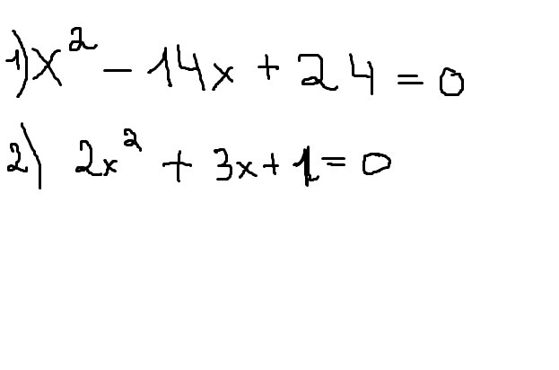
1. x² - 14x + 24 = 0
D = b² - 4ac = 196 - 96 = 100
x₁ = (-b+√D)/2a x₂ = (-b-√D)/2a
x₁ = (14 + 10)/2 x₂ = (14 - 10)/2
x₁ = 12 x₂ = 2
2. 2x² + 3x + 1 = 0
D = b² - 4ac = 9 - 8 = 1
x₁ = (-b+√D)/2a x₂ = (-b-√D)/2a
x₁ = (-3 + 1)/4 x₂ = (-3 - 1)/4
x₁ = - 0,5 x₂ = -1
D = b² - 4ac = 196 - 96 = 100
x₁ = (-b+√D)/2a x₂ = (-b-√D)/2a
x₁ = (14 + 10)/2 x₂ = (14 - 10)/2
x₁ = 12 x₂ = 2
2. 2x² + 3x + 1 = 0
D = b² - 4ac = 9 - 8 = 1
x₁ = (-b+√D)/2a x₂ = (-b-√D)/2a
x₁ = (-3 + 1)/4 x₂ = (-3 - 1)/4
x₁ = - 0,5 x₂ = -1
Ответ дал:
0
СПАСИБО
Ответ дал:
0
Не за что..)))
Вас заинтересует
3 года назад
3 года назад
8 лет назад
10 лет назад
10 лет назад
10 лет назад