Ребята,кто сможет решить...спасибо большое!!!Я хочу сверить полученные ответы,потому что не уверенна что правильно решила.Если можно,напишите пожалуйсто полученные ответы в каждом действии.Заранее спасибо!
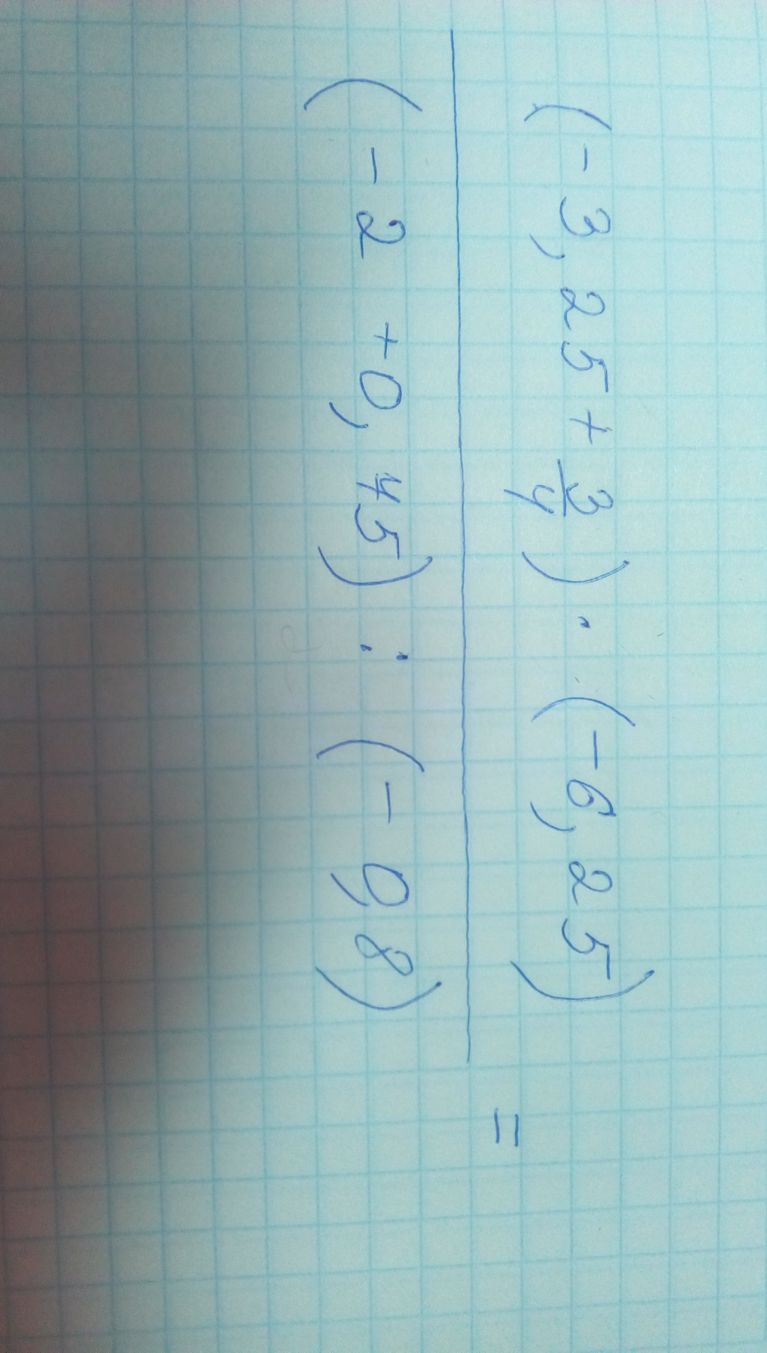
Приложения:

Ответы
Ответ дал:
0
Ответ дал:
0
Можно вопрос?trac это что обозначает?
Ответ дал:
0
точнее frac
Ответ дал:
0
Это кусочек кода, на компьютере должно правильно отобразиться
Ответ дал:
0
frac{числитель}{знаменатель} - это обозначение дроби
Ответ дал:
0
Спасибо,поняла!
Вас заинтересует
7 лет назад
9 лет назад
9 лет назад
10 лет назад