• Предмет: Алгебра
  • Автор: Mianro
  • Вопрос задан 11 лет назад

Найдите значение выражения

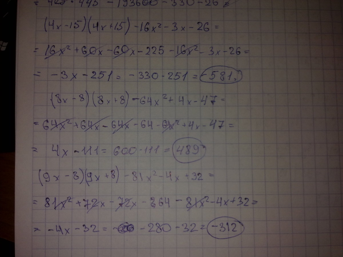
(4x - 15)(4x + 15) - 16x² - 3x - 26 при x = 110

(8x - 8)(8x + 8) - 64x² + 4x - 47 при x = 150

(9x - 8)(9x + 8) - 81x² - 4x + 32 при x = 70

(3x - 16)(3x + 16 ) - 9x² - 8 при x = 70

(7x - 13)(7x + 13) - 49x² - 6x - 29 при x = 100

(9x - 12)(9x + 12) - 81x² - 7x + 44 при x = 70

(2x - 20)(2x + 20) - 4x² - 10x - 21 при x = 120

(7x - 12)(7x + 12) - 49x² + 7x - 21 при x = 80

(5x - 14)(5x + 14) - 25x² - 8 при x = 110

(4x - 5)(4x + 5) - 16x² + 8x - 48 при x = 120

(8x - 16)(8x + 16) - 64x² - 3x + 2 при x =120

(7x - 7)(7x + 7) - 49x² + 3x - 25 при x = 130

(2x - 11)(2x + 11) - 4x² - 2x + 35 при x = 110

(7x - 7)(7x + 7) - 49x² - 2x + 15 при x = 120

(4x - 5)(4x + 5) - 16x² + 33 при x = 60

(5x - 10)(5x + 10) - 25x² + 5x - 36 при x = 60

(4x - 7)(4x + 7) - 16x² + 10x - 36 при x = 70

Ответы

Ответ дал: Marisko
0

остальные можешь сам сделать по примеру)

P.S. я не уверена что это все правильно) но воде так))

Приложения:
Вас заинтересует