• Предмет: Математика
  • Автор: Альвинка1232
  • Вопрос задан 10 лет назад

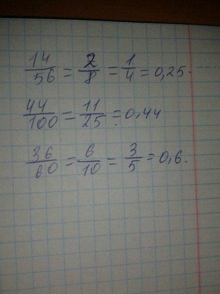
сократите дробь
1456 44100 3660

Ответы

Ответ дал: DashaKerro
0
держите:) добра бобра и всего самого наилучшего:)
Приложения:
Ответ дал: Альвинка1232
0
спасибо
Вас заинтересует