Ответы
Ответ дал:
0
____________________________________
Приложения:

Ответ дал:
0
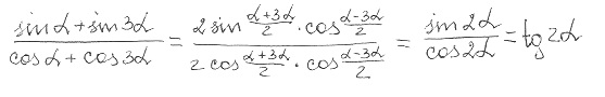
sina+sin3*a/cos*a+cos3*a-sin2*a/cos2=0
Приложения:

Вас заинтересует
2 года назад
8 лет назад
10 лет назад