• Предмет: Алгебра
  • Автор: Hoppa
  • Вопрос задан 11 лет назад

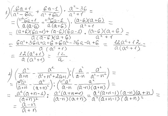
если можно, то решите пожалуйста  на листочке)

Приложения:

Ответы

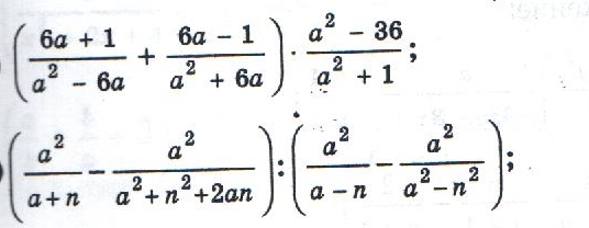
Ответ дал: Ellenochka
0

_____________________________________________

Приложения:
Вас заинтересует