• Предмет: Алгебра
  • Автор: nikolStep
  • Вопрос задан 11 лет назад

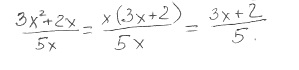
сократите дробь 3x^2+2x/5x

Ответы

Ответ дал: Ellenochka
0

______________________________________

Приложения:
Ответ дал: локошет
0

надо 3*2+2/5то получится 7,5

воттак просто

 

 

Приложения:
Вас заинтересует