• Предмет: Математика
  • Автор: lida84kh
  • Вопрос задан 10 лет назад

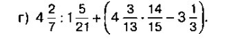
Найдите значение числового выражения

Приложения:

Ответы

Ответ дал: Leralera345
0
1277/9555 должно быть так. Считала сначала сама, психанула, воспользовалась программой.
Вас заинтересует