Ответы
Ответ дал:
0
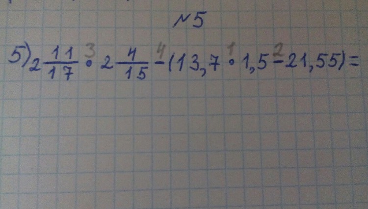
1)13,7×1,5=20,55
2)20,55-21,55=-1
3)2 11/17 ×2 4/15=6
4) 6-(-1)=минус на минус дает плюс
значит 6-(-1)=6+1=7
ответ=7
2)20,55-21,55=-1
3)2 11/17 ×2 4/15=6
4) 6-(-1)=минус на минус дает плюс
значит 6-(-1)=6+1=7
ответ=7
Вас заинтересует
2 года назад
2 года назад
8 лет назад
8 лет назад
10 лет назад
10 лет назад
10 лет назад