Ответы
Ответ дал:
0
допустимые значения переменной
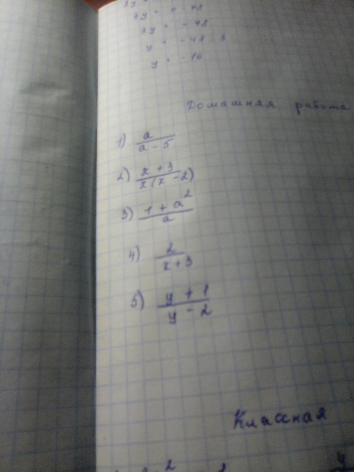
1) любое, но переменная не должен быть равен 5
2) любое, но переменная не должен быть равен 0, 2
3) переменная - любое число
4) любое, но переменная не должен быть равен -3
5) любое, кроме 2
задание для 5 класса..
1) любое, но переменная не должен быть равен 5
2) любое, но переменная не должен быть равен 0, 2
3) переменная - любое число
4) любое, но переменная не должен быть равен -3
5) любое, кроме 2
задание для 5 класса..
Ответ дал:
0
спасибо тебе большое
Ответ дал:
0
помоги еще с теми примерами пожалуйста
Вас заинтересует
3 года назад
3 года назад
8 лет назад
10 лет назад
10 лет назад