Ответы
Ответ дал:
0
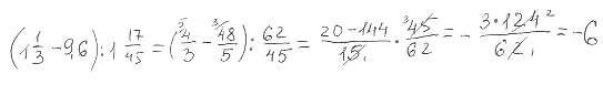
ответом будет просто - 6
Приложения:

Ответ дал:
0
= (1 1 - 9 6) ÷ 62 =( 4 - 48) ÷ 62 = 20 - 144 × 45 = - 124 × 45 = -6
3 10 45 3 5 45 15 62 15×62
Вас заинтересует
2 года назад
2 года назад
2 года назад
2 года назад
7 лет назад
7 лет назад
9 лет назад